Electrotopic.com
  • Home
  • Electrónica
  • Conversor

1 - 5

  • Convertidor de ruido de fase a fluctuación
  • Convertidor de distancia de línea de visión
  • Convertidor de dBm a Watt
  • Convertir potencia de vatios a dBm
  • Convertidor de frecuencia a longitud de onda

6 - 10

  • Convertidor de longitud de onda a frecuencia
  • Convertidor de Hz a PPM
  • Convertidor de reactancia y admitancia inductiva
  • Convertidor de pérdidas de VSWR a retorno
  • Convertidor de figura de ruido a factor de ruido

11 - 15

  • Convertidor de factor de ruido a figura de ruido
  • Convertidor delta a estrella
  • Convertidor Estrella/Estrella a Delta
  • Convertidor de antena de parche Microstrip
  • Convertidor atenuador Pi

16 - 20

  • Convertidor EIRP para sistemas RF
  • Convertidor de pérdida de ruta de espacio libre
  • Convertidor de frecuencia resonante del circuito LC
  • Convertidor de profundidad de piel
  • Convertidor VSWR

21 - 25

  • Convertidor de longitud de onda TEM
  • Convertidor capacitivo de reactancia y admitancia
  • Convertidor de PPM y PPB a Hz
  • Pérdida de retorno al convertidor VSWR
  • Convertidor de dBm a Vrms

26 - 30

  • Convertidor de dBmV a dBm
  • Convertidor de Vrms a dBm
  • Convertidor de dBm a dBW
  • Convertidor de dBW a dBm
  • Convertidor de coeficiente de reflexión a VSWR

31 - 35

  • Convertidor de VSWR a coeficiente de reflexión
  • Convertidor de longitud de antena dipolo
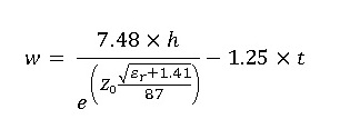
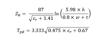
  • Convertidor de impedancia microstrip
  • Convertidor de ancho de microcinta
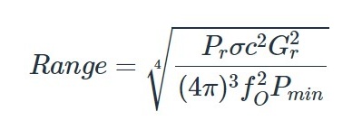
  • Convertidor de alcance de radar

36 - 40

  • Calculadora de divisor de potencia Wilkinson
  • Calculadora de zona de Fresnel
  • Calculadora de transmisión Friis
  • Calculadora de impedancia de microcinta
  • Convertidor de coeficiente de reflexión

41 - 45

  • Convertidor de dBm a dBmV
  • Convertidor de pérdida de retorno a coeficiente de reflexión
  • Convertidor SINAD a ENOB
  • Convertidor de pérdida de reflexión a retorno
  • Calculadora de inclinación hacia abajo de la antena

46 - 50

  • Calculadora del radio de cobertura de inclinación hacia abajo de la antena
  • Convertidor de diseño de antena helicoidal
  • Calculadora de reflector parabólico
  • Calculadora de atenuador balanceado
  • Calculadora de atenuador en T

51 - 55

  • Calculadora de impedancia diferencial de microcinta
  • Calculadora de impedancia diferencial de microcinta
  • Calculadora de acoplador direccional
  • Calculadora de aumento de incertidumbre debido a desajustes
  • Calculadora de señal mínima detectable

56 - 60

  • Calculadora de eficiencia de energía agregada
  • Calculadora de transformadores de RF
  • Calculadora de línea de ranura
  • Calculadora de potencia de ruido térmico
  • Calculadora de frecuencia de resonancia de cavidad

61 - 65

  • Convertidor de figura de ruido a temperatura de ruido
  • Convertidor de dBm a dBμV
  • Convertidor de temperatura de ruido a figura de ruido
  • Calculadora de potencia directa y reflejada a VSWR
  • Calculadora de divisor de potencia de N vías

66 - 70

  • Convertidor de relación de potencia RF
  • Calculadora de distancia de campo cercano y campo lejano de antena
  • Calculadora de densidad de potencia de antena
  • Calculadora de ganancia de antena reflectora parabólica
  • Calculadora de atenuador en T con puente

71 - 75

  • Calculadora de atenuador de reflexión
  • Calculadora de curvatura en inglete Microstrip
  • Convertidor efectivo de apertura de antena
  • Calculadora de rango máximo inequívoco
  • Calculadora de frecuencia de repetición de pulso

76 - 80

  • Calculadora de velocidad ciega por radar
  • Calculadora de filtro de paso de banda de microondas
  • Calculadora de transformador de cuarto de onda
  • Calculadora de cristal de cuarzo
  • Convertidor de tasa de absorción específica

81 - 81

  • Convertidor de rango dinámico libre de espurios

Discover our new calculator tool!

  • Privacy policy
  • About us
  • Contact us
  • Disclaimer
  • Terms and Conditions
  • English
  • Français
  • Español
  • Português
  • Deutsch
  • Nederlands
  • Italiano
  • Polski
  • Türkçe